- Untuk menyelesaikan tugas Elektronika yang diberikan oleh Bapak Dr. Darwison
- Untuk lebih memahami materi Voltage Summing
alat
Instrument
DC Voltmeter
Fungsi: Mengukur besar tegagan listrik dalam besaran dan stauan tertentu
Spesifikasi :
- Angka rangkuman masukan biasanya di mulai dari ± 1,000000 V hingga s/d ± 1000, 000 V (Metode pemilihan rangkuman dilakukan dengan cara otomatis dan indikasi beban lebih).
- Ketelitian mutlak tercatat mencapai ± 0,005 persen dari pembacaan yang sudah dilakukan.
- Angka stabilitas untuk jangka pendek sebesar 0,002 persen dari pembacaan (periode 24 jam). Sedangkan untuk jangka panjang sebesar 0,008 persen pembacaan (periode 6 bulan).
- Resolusi untuk 1 bagian dalam 106 yaitu 1 μV bisa dibaca pada rangkuman dari masukan 1 V.
- Karakteristik masukannya yaitu tahanan masukan khas sebesar 10 MΩ dengan kapasitas masukan 40 pF.
- Kalibrasi yang standar (internal) tidak tergantung pada rangkaian ukuran yang mana telah diperoleh dari sumber referensi yang sudah stabil.
- Ada beberapa sinyal keluaran seperti perintah mencetak.
Osiloskop
Fungsi: Mengukur Frekuensi Sinyla yang berosilasi
Spesifikasi
bahanOP-AMP atau Operational Amplifier sering disebut juga dengan Penguat Operasional.
Fungsi : Sebagai penguat sinyal listrik
Spesifikasi : 741
- Penguatan Tegangan Open-loop atau Av = ∞ (tak terhingga)
- Tegangan Offset Keluaran (Output Offset Voltage) atau Voo = 0 (nol)
- Impedansi Masukan (Input Impedance) atau Zin= ∞ (tak terhingga)
- Impedansi Output (Output Impedance ) atau Zout = 0 (nol)
- Lebar Pita (Bandwidth) atau BW = ∞ (tak terhingga)
- Karakteristik tidak berubah dengan suhu
Resistor
Fungsi : Sebagai penghambat arus listrik
Spesifikasi : R1 1k
Ground
Fungsi : Sebagai penghantar arus listrik ke tanah
VOLTAGE SUMMING
Penggunaan op-amp populer lainnya adalah sebagai penguat penjumlah. Gambar 15.8 menunjukkan hubungan dengan keluaran menjadi penjumlahan dari ketiga masukan tersebut, masing-masing dikalikan dengan keuntungan yang berbeda. Tegangan keluarannya adalah
Voltage Subtraction
Dua sinyal dapat dikurangi, satu dari yang lain, dengan berbagai cara. Gambar 15.10 menunjukkan dua tahap op-amp yang digunakan untuk memberikan pengurangan sinyal input. Hasilnya keluaran diberikan oleh
Sambungan lain untuk memberikan pengurangan dua sinyal ditunjukkan pada Gambar 15.11. Koneksi ini hanya menggunakan satu panggung op-amp untuk mengurangi dua sinyal input. Dengan menggunakan superposisi, output dapat ditampilkan menjadi


Resistor
Resistor adalah komponen elektronika pasif yang memiliki nilai resistansi atau hambatan tertentu yang berfungsi untuk membatasi dan mengatur arus listrik dalam suatu rangkaian elektronika. Satuan Resistor adalah Ohm (simbol: Ω) yang merupakan satuan SI untuk resistansi listrik. Resitor mempunyai nilai resistansi (tahanan) tertentu yang dapat memproduksi tegangan listrik di antara kedua pin dimana nilai tegangan terhadap resistansi tersebut berbanding lurus dengan arus yang mengalir, berdasarkan persamaan hukum Ohm (V = I.R ).
Cara menghitung nilai resistansi resistor dengan gelang warna:
1. Masukkan angka langsung dari kode warna gelang pertama.
2. Masukkan angka langsung dari kode warna gelang kedua.
3. Masukkan angka langsung dari kode warna gleang ketiga.
4. Masukkan jumlah nol dari kode warna gelang ke-4 atau pangkatkan angka tersebut dengan 10 (10^n), ini merupakan nilai toleransi dari resistor.
OpAmp
Op-Amp adalah salah satu dari bentuk IC Linear yang berfungsi sebagai Penguat Sinyal listrik. Sebuah Op-Amp terdiri dari beberapa Transistor, Dioda, Resistor dan Kapasitor yang terinterkoneksi dan terintegrasi sehingga memungkinkannya untuk menghasilkan Gain (penguatan) yang tinggi pada rentang frekuensi yang luas.
Simbol
Karakteristik IC OpAmp
· Penguatan Tegangan Open-loop atau Av = ∞ (tak terhingga)
· Tegangan Offset Keluaran (Output Offset Voltage) atau Voo = 0 (nol)
· Impedansi Masukan (Input Impedance) atau Zin= ∞ (tak terhingga)
· Impedansi Output (Output Impedance ) atau Zout = 0 (nol)
· Lebar Pita (Bandwidth) atau BW = ∞ (tak terhingga)
· Karakteristik tidak berubah dengan suhu
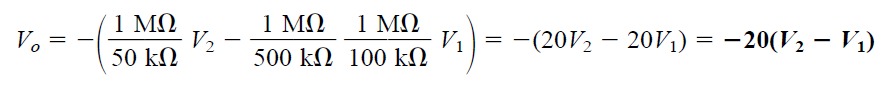
1. Tentukan output untuk rangkaian Gambar 15.10 dengan komponen Rf 1 MΩ, R1 100 kΩ, R2 50 kΩ, dan R3 500 kΩ.
Jawab:
Outputnya terlihat sebagai perbedaan V2 dan V1 dikalikan dengan faktor penguatan 20.
2. Tentukan tegangan keluaran untuk rangkaian Gambar 15.12.
Jawab:
Tegangan keluaran yang dihasilkan dapat dinyatakan sebagai
Tegangan keluaran yang dihasilkan terlihat sebagai perbedaan dari dua tegangan masukan.
5. Problem [Kembali]
1. Hitung tegangan keluaran untuk rangkaian Gambar. 15.51 dengan masukan V1 40 mV rms dan V2 20 mV rms.
Jawab:
= -[470/70 (40) + 470/12 (20)]
= -[ 400 +783,3 ]
= -[1183,3] mV
= -1,18 V
2. Tentukan tegangan keluaran untuk rangkaian Gambar 15.53.
Jawab:
= -[470/47 (18) - 470/47 x 330/33 (12)] = -[180 - 1200]
= -[ -1020]
= 1020 mV
1. Hitunglah Vot dari rangkaian summing amplifier berikut:
a. -90 mV
b. -150 mV
c. -70 mV
d. -50 mV
Jawab :
2. Hitunglah Vot dari rangkaian summing amplifier berikut:
a. -100 mV
b. -85 mV
c. -50 mV
d. -35 mV
A. Prosedur Percobaan
Pada percobaan kali ini dilakukan dengan prosedur sebagai berikut:
- Mempersiapkan Alat dan Bahan seperti yang telah tertera pada Sub Bab Alat dan Bahan di atas
- Merangkai Rangkaian sesuai dengan jenisnya masing-masing dan sesuai dengan gambar
- Amatilah nilai input dan output dengan menyesuaikannya dengan rumus yang ada
- Amatilah respon grafik sinyal input dan outputnya.
B. Rangkaian Simulasi dan Prinsip Kerja
Gambar 15.8
Prinsip kerja
Tegangan dari baterai 1,2 dan 3 yang dihubungkan secara paralel akan mengalirkan arus menuju resistor R1, R2, R3 yang dihubungkan secara paralel mengeluarkan arus yang dibagi ke Rf dan ke Op-amp, pada op-amp nantinya akan terjadi penguatan dengan rumus Vo = - (Rf/R1*V1 + Rf/R2 *V2 + Rf/R3 *V3) .
Gambar 15.9
Prinsip kerja
Tegangan dari sumber AC yang dihubungkan secara paralel akan mengalirkan arus menuju resistor R1 dan R2 yang dihubungkan secara paralel mengeluarkan arus yang dibagi ke Rf dan ke Op-amp, pada op-amp nantinya akan terjadi penguatan dengan rumus Vo = - (Rf/R1*V1 + Rf/R2 *V2) .
Gambar 15.10
Prinsip kerja
Tegangan Dari sumber AC melewati R1 dan tegangan dibagai menuju ke Rf dan ke OpAmp terjadi penguataan arus dari OpAmp akan melewati R3 dari sumber AC2 akan masuk ke R2 yg parelel dengan R3 dan tegangan nya akan dibagai ke Rf dan ke Op Amp dengan Rumus V0 = -(Rf/R2*V2 - Rf/R3 * Rf/R1 *V1) .
Gambar 15.11
Prinsip kerja
Tegangan Dari baterai V1 melewati R1 arus dibagi secara paralel dengan R3 ke kaki non inverting OpAmp dan selanjutnya tegangan dari baterai V2 melewati R2 dan akan dibagi ke R4 dan kek kaki inveritng OpAmp denga Rumus Vo = R3/R1+R2 * R2+R4/R2 *V1 - R4/R2 *V2 .
Gambar 15.12
Prinsip kerja
Tegangan Dari baterai V1 melewati R1 arus dibagi secara paralel dengan R3 ke kaki non inverting OpAmp dan selanjutnya tegangan dari baterai V2 melewati R2 dan akan dibagi ke R4 dan kek kaki inveritng OpAmp denga Rumus Vo = R3/R1+R2 * R2+R4/R2 *V1 - R4/R2 *V2 .
C. Video
Video 15.8
Video 15.9
Video 15.10
Video 15.11
Video 15.12
- Download HTML
- Download Video Simulasi Rangkaian 15.8
- Download Video Simulasi Rangkaian 15.9
- Download Video Simulasi Rangkaian 15.10
- Download Video Simulasi Rangkaian 15.11
- Download Video Simulasi Rangkaian 15.12
- Download Datasheet Resistor
- Download Datasheet OP AMP 741
- Download Datasheet Battery
- Download Datasheet Alternator
- Download Datasheet Voltmeter
- Download Datasheet Osiloskop
- Download Rangkaian 15.8
- Download Rangkaian 15.9
- Download Rangkaian 15.10
- Download Rangkaian 15.11
- Download Rangkaian 15.12
Tidak ada komentar:
Posting Komentar