DC Voltemeter merupakan alat ukur yang digunakan untuk mnegukur tegangan DC.
Spesifikasi:
- Angka rangkuman masukan biasanya di mulai dari ± 1,000000 V hingga s/d ± 1000, 000 V (Metode pemilihan rangkuman dilakukan dengan cara otomatis dan indikasi beban lebih).
- Ketelitian mutlak tercatat mencapai ± 0,005 persen dari pembacaan yang sudah dilakukan.
- Angka stabilitas untuk jangka pendek sebesar 0,002 persen dari pembacaan (periode 24 jam). Sedangkan untuk jangka panjang sebesar 0,008 persen pembacaan (periode 6 bulan).
- Resolusi untuk 1 bagian dalam 106 yaitu 1 μV bisa dibaca pada rangkuman dari masukan 1 V.
- Karakteristik masukannya yaitu tahanan masukan khas sebesar 10 MΩ dengan kapasitas masukan 40 pF.
- Kalibrasi yang standar (internal) tidak tergantung pada rangkaian ukuran yang mana telah diperoleh dari sumber referensi yang sudah stabil.
- Ada beberapa sinyal keluaran seperti perintah mencetak.
- Input voltage: ac 100~240v / dc 10~30v
- Output voltage: dc 1~35v
- Max. Input current: dc 14a
- Charging current: 0.1~10a
- Discharging current: 0.1~1.0a
- Balance current: 1.5a/cell max
- Max. Discharging power: 15w
- Max. Charging power: ac 100w / dc 250w
- Jenis batre yg didukung: life, lilon, lipo 1~6s, lihv 1-6s, pb 1-12s, nimh, cd 1-16s
- Ukuran: 126x115x49mm
- Berat: 460g
Spesifikasi resistor yang digunakan:
a. Resistor 10 ohm
b. Resistor 220 ohm
c. Resistor 10k ohm
· Vin : DC 5V 9V.
· Radius : 180 derajat.
· Jarak deteksi : 5 7 meter.
· Output : Digital TTL.
· Memiliki setting sensitivitas.
· Memiliki setting time delay.
· Dimensi : 3,2 cm x 2,4 cm x 2,3 cm.
· Berat : 10 gr.
Konfigurasi Pin
Cara menghitung nilai resistansi resistor dengan gelang warna:
1. Masukkan angka langsung dari kode warna gelang pertama.
2. Masukkan angka langsung dari kode warna gelang kedua.
3. Masukkan angka langsung dari kode warna gleang ketiga.
4. Masukkan jumlah nol dari kode warna gelang ke-4 atau pangkatkan angka tersebut dengan 10 (10^n), ini merupakan nilai toleransi dari resistor.
b. Sensor LDR
LDR (Light Dependent Resistor) merupakan salah satu komponen resistor yang nilai resistansinya akan berubah-ubah sesuai dengan intensitas cahaya yang mengenainya. LDR juga dapat digunakan sebagai sensor cahaya. Nilai resistansi dari LDR bergantung pada intensitas cahaya. Semakin tinggi intensitas cahaya (siang hari) yang mengenainya, maka semakin kecil nilai resistansinya. Sebaliknya semakin rendah intensitas cahaya (malam hari) yang mengenainya, maka semakin besar nilai resistansinya.
Secara umum, sensor LDR memiliki nilai hambatan 200 Kilo Ohm saat intensitas cahaya rendah (malam hari) dan akan menurun menjadi 500 Ohm saat intensitas cahaya tinggi (siang hari).Umumnya sensor LDR digunakan pada rangkaian lampu otomatis pada rumah, taman, dan jalan raya.
Karakteristik sensor LDR
-Laju Recovery
Laju recovery merupakan suatu ukuran praktis dan suatu kenaikan nilai resistansi dalam waktu tertentu. Harga ini ditulis dalam K/detik, untuk LDR tipe arus harganya lebih besar dari 200K/detik(selama 20 menit pertama mulai dari level cahaya 100 lux), kecepatan tersebut akan lebih tinggi pada arah sebaliknya, yaitu pindah dari tempat gelap ke tempat terang yang memerlukan waktu kurang dari 10 ms untuk mencapai resistansi yang sesuai den-gan level cahaya 400 lux.
-Respon Spektral
Sensor Cahaya LDR (Light Dependent Resistor) tidak mempunyai sensitivitas yang sama untuk setiap panjang gelombang cahaya yang jatuh padanya (yaitu warna). Bahan yang biasa digunakan sebagai penghantar arus listrik yaitu tembaga, aluminium, baja, emas dan perak. Dari kelima bahan tersebut tembaga merupakan penghantar yang paling banyak, digunakan karena mempunyai daya hantaryang baik.
Karakteristrik umum dari sensor cahaya LDR adalah sebagai berikut:
1. Tegangan maksimum (DC): 150V
2. Konsumsi arus maksimum: 100mW
3. Tingkatan Resistansi/Tahanan : 10Ω sampai 100KΩ
4. Puncak spektral: 540nm (ukuran gelombang cahaya)
5. Waktu Respon Sensor : 20ms – 30ms
6. Suhu operasi: -30° Celsius – 70° Celcius
c. Sensor PIR
Transistor merupakan alat semikonduktor yang dapat digunakan sebagai penguat sinyal, pemutus atau penyambung sinyal, stabilisasi tegangan, dan fungsi lainnya. Transistor memiliki 3 kaki elektroda, yaitu basis, kolektor, dan emitor. Pada rangkaian kali ini digunakan transistor 2SC1162 bertipe NPN. Transistor ini diperumpamakan sebagai saklar, yaitu ketika kaki basis diberi arus, maka arus pada kolektor akan mengalir ke emiter yang disebut dengan kondisi ON. Sedangkan ketika kaki basis tidak diberi arus, maka tidak ada arus mengalir dari kolektor ke emitor yang disebut dengan kondisi OFF. Namun, jika arus yang diberikan pada kaki basis melebihi arus pada kaki kolektor atau arus pada kaki kolektor adalah nol (karena tegangan kaki kolektor sekitar 0,2 - 0,3 V), maka transistor akan mengalami cutoff (saklar tertutup).
Transistor adalah sebuah komponen di dalam elektronika yang diciptakan dari bahan-bahan semikonduktor dan memiliki tiga buah kaki. Masing-masing kaki disebut sebagai basis, kolektor, dan emitor.
Emitor (E) memiliki fungsi untuk menghasilkan elektron atau muatan negatif.
Kolektor (C) berperan sebagai saluran bagi muatan negatif untuk keluar dari dalam transistor.
Basis (B) berguna untuk mengatur arah gerak muatan negatif yang keluar dari transistor melalui kolektor.
e. Relay
Relay merupakan komponen elektronika berupa saklar atau swirch elektrik yang dioperasikan secara listrik dan terdiri dari 2 bagian utama yaitu Elektromagnet (coil) dan mekanikal (seperangkat kontak Saklar/Switch). Komponen elektronika ini menggunakan prinsip elektromagnetik untuk menggerakan saklar sehingga dengan arus listrik yang kecil (low power) dapat menghantarkan listrik yang bertegangan lebih tinggi. Berikut adalah simbol dari komponen relay.
Pada dasarnya, Relay terdiri dari 4 komponen dasar yaitu :
1. Electromagnet (Coil)
2. Armature
3. Switch Contact Point (Saklar)
4. Spring
Gambar dari bagian-bagian relay
Kontak Poin (Contact Point) Relay terdiri dari 2 jenis yaitu :
- Normally Close (NC) yaitu kondisi awal sebelum diaktifkan akan selalu berada di posisi CLOSE (tertutup)
- Normally Open (NO) yaitu kondisi awal sebelum diaktifkan akan selalu berada di posisi OPEN (terbuka)
f. Dioda
Diode (diode) adalah komponen elektronika aktif yang terbuat dari bahan semikonduktor dan mempunyai fungsi untuk menghantarkan arus listrik ke satu arah tetapi menghambat arus listrik dari arah sebaliknya. Berikut ini adalah fungsi dari dioda antara lain:
· Untuk alat sensor panas, misalnya dalam amplifier.
· Sebagai sekering(saklar) atau pengaman.
· Untuk rangkaian clamper dapat memberikan tambahan partikel DC untuk sinyal AC.
· Untuk menstabilkan tegangan pada voltage regulator
· Untuk penyearah
· Untuk indikator
· Untuk alat menggandakan tegangan.
· Untuk alat sensor cahaya, biasanya menggunakan dioda photo.
Simbol dioda adalah :
Untuk menentukan arus zenner berlaku persamaan:
Pada grafik terlihat bahwa pada tegangan dibawah ambang batas tegangan mundur (reverse) sebuah dioda akan tembus (menghantar) dan tidak bisa menahan lagi. Batas ini disebut dengan area tegangan breakdown dioda. Kondisi dioda pada area ini adalah tembus atau menghantar dan tidak menghambat. Kemudian pada level tegangan diantara tegangan breakdown dan tegangan forward terdapat area tegangan reverse dan tegangan cut off. Pada area ini kondisi dioda adalah menahan atau tidak mengalirkan arus listrik.
g. Lampu
Lampu Listrik adalah suatu perangkat yang dapat menghasilkan cahaya saat dialiri arus listrik. Arus listrik yang dimaksud ini dapat berasal tenaga listrik yang dihasilkan oleh pembangkit listrik terpusat (Centrally Generated Electric Power) seperti PLN dan Genset ataupun tenaga listrik yang dihasilkan oleh Baterai dan Aki.
Jenis Jenis Lampu Listrik
Seiring dengan perkembangan Teknologi, Lampu Listrik juga telah mengalami berbagai perbaikan dan kemajuan. Teknologi Lampu Listrik bukan saja Lampu Pijar yang ditemukan oleh Thomas Alva Edison saja namun sudah terdiri dari berbagai jenis dan Teknologi. Pada dasarnya, Lampu Listrik dapat dikategorikan dalam Tiga jenis yaitu Incandescent Lamp (Lampu Pijar), Gas-discharge Lamp (Lampu Lucutan Gas) dan Light Emitting Diode (Lampu LED).
Lampu Pijar (Incandescent Lamp)
Lampu Pijar atau disebut juga Incandescent Lamp adalah jenis lampu listrik yang menghasilkan cahaya dengan cara memanaskan Kawat Filamen di dalam bola kaca yang diisi dengan gas tertentu seperti nitrogen, argon, kripton atau hidrogen. Kita dapat menemukan Lampu Pijar dalam berbagai pilihan Tegangan listrik yaitu Tegangan listrik yang berkisar dari 1,5V hingga 300V.
Lampu Pijar yang dapat bekerja pada Arus DC maupun Arus AC ini banyak digunakan di Lampu Penerang Jalan, Lampu Rumah dan Kantor, Lampu Mobil, Lampu Flash dan juga Lampu Dekorasi. Pada umumnya Lampu Pijar hanya dapat bertahan sekitar 1000 jam dan memerlukan Energi listrik yang lebih banyak dibandingkan dengan jenis-jenis lampu lainnya.
Lampu Lucutan Gas (Gas discharge Lamp)
Lampu lucutan gas menghasilkan cahaya dengan mengirimkan lucutan elektris melalui gas yang terionisasi, misalnya pada plasma. Sifat lucutan gas sangat tergantung pada frekuensi atau modulasi arus listriknya. Biasanya, lampu lampu ini menggunakan gas mulia (argon, neon, kripton, dan xenon) atau campuran dari gas-gas tersebut. Sebagian besar lampu-lampu ini juga mengandung bahan-bahan tambahan, seperti merkuri, natrium, dan/atau halida logam.
Lampu LED (Light Emitting Diode)
Lampu LED adalah komponen elektronika yang dapat memancarkan cahaya monokromatik ketika diberikan tegangan maju. LED merupakan keluarga Dioda yang terbuat dari bahan semikonduktor. Warna warna Cahaya yang dipancarkan oleh LED tergantung pada jenis bahan semikonduktor yang dipergunakannya. LED juga dapat memancarkan sinar inframerah yang tidak tampak oleh mata seperti yang sering kita jumpai pada Remote Control TV ataupun Remote Control perangkat elektronik lainnya.
h. OpAmp
Op-Amp adalah salah satu dari bentuk IC Linear yang berfungsi sebagai Penguat Sinyal listrik. Sebuah Op-Amp terdiri dari beberapa Transistor, Dioda, Resistor dan Kapasitor yang terinterkoneksi dan terintegrasi sehingga memungkinkannya untuk menghasilkan Gain (penguatan) yang tinggi pada rentang frekuensi yang luas.
Simbol
Karakteristik IC OpAmp
· Penguatan Tegangan Open-loop atau Av = ∞ (tak terhingga)
· Tegangan Offset Keluaran (Output Offset Voltage) atau Voo = 0 (nol)
· Impedansi Masukan (Input Impedance) atau Zin= ∞ (tak terhingga)
· Impedansi Output (Output Impedance ) atau Zout = 0 (nol)
· Lebar Pita (Bandwidth) atau BW = ∞ (tak terhingga)
· Karakteristik tidak berubah dengan suhu
Inverting Amplifier
Rumus:
NonInverting
Rumus:
Komparator
Rumus:
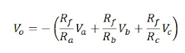
Adder
Rumus:
Bentuk Gelombang
i. Motor DC
Motor Listrik DC atau DC Motor adalah suatu perangkat yang mengubah energi listrik menjadi energi kinetik atau gerakan (motion). Motor DC ini juga dapat disebut sebagai Motor Arus Searah. Seperti namanya, DC Motor memiliki dua terminal dan memerlukan tegangan arus searah atau DC (Direct Current) untuk dapat menggerakannya. Motor Listrik DC ini biasanya digunakan pada perangkat-perangkat Elektronik dan listrik yang menggunakan sumber listrik DC seperti Vibrator Ponsel, Kipas DC dan Bor Listrik DC.
Prinsip Kerja Motor DC
Terdapat dua bagian utama pada sebuah Motor Listrik DC, yaitu Stator dan Rotor. Stator adalah bagian motor yang tidak berputar, bagian yang statis ini terdiri dari rangka dan kumparan medan. Sedangkan Rotor adalah bagian yang berputar, bagian Rotor ini terdiri dari kumparan Jangkar. Dua bagian utama ini dapat dibagi lagi menjadi beberapa komponen penting yaitu diantaranya adalah Yoke (kerangka magnet), Poles (kutub motor), Field winding (kumparan medan magnet), Armature Winding (Kumparan Jangkar), Commutator (Komutator) dan Brushes (kuas/sikat arang).
Pada prinsipnya motor listrik DC menggunakan fenomena elektromagnet untuk bergerak, ketika arus listrik diberikan ke kumparan, permukaan kumparan yang bersifat utara akan bergerak menghadap ke magnet yang berkutub selatan dan kumparan yang bersifat selatan akan bergerak menghadap ke utara magnet. Saat ini, karena kutub utara kumparan bertemu dengan kutub selatan magnet ataupun kutub selatan kumparan bertemu dengan kutub utara magnet maka akan terjadi saling tarik menarik yang menyebabkan pergerakan kumparan berhenti.
Untuk menggerakannya lagi, tepat pada saat kutub kumparan berhadapan dengan kutub magnet, arah arus pada kumparan dibalik. Dengan demikian, kutub utara kumparan akan berubah menjadi kutub selatan dan kutub selatannya akan berubah menjadi kutub utara. Pada saat perubahan kutub tersebut terjadi, kutub selatan kumparan akan berhadap dengan kutub selatan magnet dan kutub utara kumparan akan berhadapan dengan kutub utara magnet. Karena kutubnya sama, maka akan terjadi tolak menolak sehingga kumparan bergerak memutar hingga utara kumparan berhadapan dengan selatan magnet dan selatan kumparan berhadapan dengan utara magnet. Pada saat ini, arus yang mengalir ke kumparan dibalik lagi dan kumparan akan berputar lagi karena adanya perubahan kutub. Siklus ini akan berulang-ulang hingga arus listrik pada kumparan diputuskan.
j. Baterai
Baterai adalah perangkat yang terdiri dari satu atau lebih sel elektrokimia dengan koneksi eksternal yang disediakan untuk memberi daya pada perangkat listrik seperti senter, ponsel, dan mobil listrik. Ketika baterai memasok daya listrik, terminal positifnya adalah katode dan terminal negatifnya adalah anoda. Terminal bertanda negatif adalah sumber elektron yang akan mengalir melalui rangkaian listrik eksternal ke terminal positif. Ketika baterai dihubungkan ke beban listrik eksternal, reaksi redoks mengubah reaktan berenergi tinggi ke produk berenergi lebih rendah, dan perbedaan energi-bebas dikirim ke sirkuit eksternal sebagai energi listrik. Secara historis istilah "baterai" secara khusus mengacu pada perangkat yang terdiri dari beberapa sel, namun penggunaannya telah berkembang untuk memasukkan perangkat yang terdiri dari satu sel.
Prinsip operasi
Baterai mengubah energi kimia langsung menjadi energi listrik. Baterai terdiri dari sejumlah sel volta. Tiap sel terdiri dari 2 sel setengah yang terhubung seri melalui elektrolit konduktif yang berisi anion dan kation. Satu sel setengah termasuk elektrolit dan elektrode negatif, elektrode yang di mana anion berpindah; sel-setengah lainnya termasuk elektrolit dan elektrode positif di mana kation berpindah. Reaksi redoks akan mengisi ulang baterai. Kation akan tereduksi (elektron akan bertambah) di katode ketika pengisian, sedangkan anion akan teroksidasi (elektron hilang) di anode ketika pengisian. Ketika digunakan, proses ini dibalik. Elektrodanya tidak bersentuhan satu sama lain, tetapi terhubung via elektrolit. Beberapa sel menggunakan elektrolit yang berbeda untuk tiap sel setengah. Sebuah separator dapat membuat ion mengalir di antara sel-setengah dan bisa menghindari pencampuran elektrolit.
2. Pilih komponen yang dibutuhkan, pada rangkaian ini dibutukan komponen Relay, Motor DC, Sensor LM35, LED, Transistor NPN BC548, Octocoupler, Resistor, Op amp, Potensiometer, dan Mosfet
3. Rangkai setiap komponen menjadi rangkaian yang diinginkan
4. Ubah spesifikasi komponen sesuai kebutuhan
5. Jalankan simulasi rangkaian










































